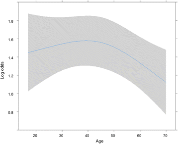
Fig. 1
From: Public attitudes in Japan toward participation in whole genome sequencing studies

The effects of age on willingness
From: Public attitudes in Japan toward participation in whole genome sequencing studies

The effects of age on willingness